Относительная частота вращения
Список продуктов
Данный раздел/документ содержится в продуктах:
Данный раздел/документ содержится в продуктах:
- Техэксперт: Нормы, правила, стандарты и законодательство России
- Техэксперт: Нефтегазовый комплекс
- Техэксперт: Машиностроительный комплекс
- Техэксперт: Электроэнергетика
- Техэксперт: Теплоэнергетика
- Стройэксперт. "Вариант Лидер"
- Техэксперт: Эксплуатация зданий
- Стройтехнолог
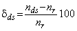
ОТНОСИТЕЛЬНАЯ ЧАСТОТА ВРАЩЕНИЯ
, %:
Разность между частотой настройки устройства защиты, n, и объявленной частотой вращения двигателя, n
, отнесенная к объявленной частоте вращения, вычисляемая по формуле
.



