Истинный астигматизм
Список продуктов
Данный раздел/документ содержится в продуктах:
Данный раздел/документ содержится в продуктах:
- Техэксперт: Нормы, правила, стандарты и законодательство России
- Техэксперт: Нефтегазовый комплекс
- Техэксперт: Машиностроительный комплекс
ИСТИННЫЙ АСТИГМАТИЗМ
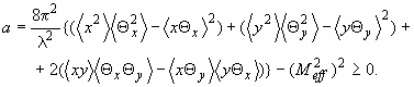
Степень достижимого сближения астигматического пучка со стигматическим (гомоцентрическим) путем его преобразования с использованием линз и свободного пространства:

Примечание - Пучки классифицируют по их истинному астигматизму , являющемуся инвариантной величиной. Пучок, у которого
0, называется истинным стигматическим (гомоцентрическим) пучком, а пучок с
0 - истинным астигматическим пучком. Например, астигматические пучки при
. Более детально эти вопросы рассмотрены в ИСО/ТР 11146-3 [2].



