0 продуктов

Авторизация

Показатель средней уникальности параметров биометрического образа

Список продуктов
Данный раздел/документ содержится в продуктах:


ПОКАЗАТЕЛЬ СРЕДНЕЙ УНИКАЛЬНОСТИ ПАРАМЕТРОВ БИОМЕТРИЧЕСКОГО ОБРАЗА

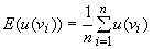
Характеристика средней уникальности всех параметров биометрического образа, вычисляемая по формуле

.                                                    (4)

"ГОСТ Р 52633.1-2009 Защита информации. Техника защиты информации. Требования к формированию баз естественных биометрических образов, предназначенных для тестирования средств высоконадежной биометрической аутентификации" от 15.12.2009 г.

Категории продуктов

 

 

 

Знакомьтесь, "Техэксперт"

 Техэксперт для iPad

 Для Android

АКЦИЯ!

Бесплатный доступ