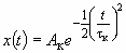
Колоколообраный импульс
Список продуктов
Данный раздел/документ содержится в продуктах:
Данный раздел/документ содержится в продуктах:
- Техэксперт: Нормы, правила, стандарты и законодательство России
- Техэксперт: Нефтегазовый комплекс
- Техэксперт: Машиностроительный комплекс
КОЛОКОЛООБРАНЫЙ ИМПУЛЬС


- амплитуда колоколообразного импульса;
- интервал времени между точками перегиба колоколообразного импульса.
Примечания:



