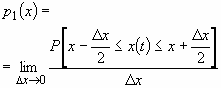
Одномерная плотность вероятности
Список продуктов
Данный раздел/документ содержится в продуктах:
Данный раздел/документ содержится в продуктах:
- Техэксперт: Нормы, правила, стандарты и законодательство России
- Техэксперт: Нефтегазовый комплекс
- Техэксперт: Машиностроительный комплекс
ОДНОМЕРНАЯ ПЛОТНОСТЬ ВЕРОЯТНОСТИ
Ндп. Дифференциальный закон распределения вероятности. Распределение амплитуд
Функция, равная пределу отношения вероятности пребывания случайного сигнала в некотором интервале значений к ширине этого интервала при стремлении его к нулю, причем ее аргументом является значение, к которому стягивается интервал
,
где - вероятность;
- ширина интервала.



