Комплексный спектр периодического сигнала
Список продуктов
Данный раздел/документ содержится в продуктах:
Данный раздел/документ содержится в продуктах:
- Техэксперт: Нормы, правила, стандарты и законодательство России
- Техэксперт: Нефтегазовый комплекс
- Техэксперт: Машиностроительный комплекс
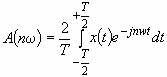
КОМПЛЕКСНЫЙ СПЕКТР ПЕРИОДИЧЕСКОГО СИГНАЛА
Комплексная функция дискретного аргумента, равного целому числу значений частоты периодического сигнала, представляющая собой значения коэффициентов комплексного ряда Фурье для периодического сигнала
,
где - любое целое число



