Спектральная функция импульса
Список продуктов
Данный раздел/документ содержится в продуктах:
Данный раздел/документ содержится в продуктах:
- Техэксперт: Нормы, правила, стандарты и законодательство России
- Техэксперт: Нефтегазовый комплекс
- Техэксперт: Машиностроительный комплекс
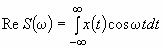
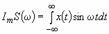
СПЕКТРАЛЬНАЯ ФУНКЦИЯ ИМПУЛЬСА

Где - круговая частота;
- импульс;
- действительная часть спектральной функции импульса;
- мнимая часть спектральной функции импульса



