Сигнал контрастности печати
Список продуктов
Данный раздел/документ содержится в продуктах:
Данный раздел/документ содержится в продуктах:
- Техэксперт: Нормы, правила, стандарты и законодательство России
- Техэксперт: Нефтегазовый комплекс
- Техэксперт: Машиностроительный комплекс
СИГНАЛ КОНТРАСТНОСТИ ПЕЧАТИ
(print contrast signal)
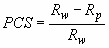
Контрастность машиносчитываемого оттиска, определяемая как
,
где - коэффициент отражения оттиска, измеренный в соответствии с ИСО 1831 в волновом диапазоне В 900;



