Доброкачественность пьезоэлектрического резонатора
Список продуктов
Данный раздел/документ содержится в продуктах:
Данный раздел/документ содержится в продуктах:
- Техэксперт: Нормы, правила, стандарты и законодательство России
- Техэксперт: Нефтегазовый комплекс
- Техэксперт: Машиностроительный комплекс
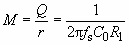
ДОБРОКАЧЕСТВЕННОСТЬ ПЬЕЗОЭЛЕКТРИЧЕСКОГО РЕЗОНАТОРА
D.
E. Figure of merit
F. Facteur de

Отношение добротности пьезоэлектрического резонатора к емкостному коэффициенту



