Добротность пьезоэлектрического резонатора
Список продуктов
Данный раздел/документ содержится в продуктах:
Данный раздел/документ содержится в продуктах:
- Техэксперт: Нормы, правила, стандарты и законодательство России
- Техэксперт: Нефтегазовый комплекс
- Техэксперт: Машиностроительный комплекс
ДОБРОТНОСТЬ ПЬЕЗОЭЛЕКТРИЧЕСКОГО РЕЗОНАТОРА
D.
E. Quality factor
F. Facteur de surtension

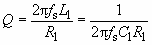
Отношение реактивного сопротивления пьезоэлектрического резонатора на частоте последовательного резонанса к его динамическому сопротивлению



