Относительная среднеквадратическая погрешность
Список продуктов
Данный раздел/документ содержится в продуктах:
Данный раздел/документ содержится в продуктах:
- Техэксперт: Нормы, правила, стандарты и законодательство России
- Техэксперт: Нефтегазовый комплекс
- Техэксперт: Машиностроительный комплекс
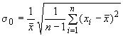
ОТНОСИТЕЛЬНАЯ СРЕДНЕКВАДРАТИЧЕСКАЯ ПОГРЕШНОСТЬ
Величина, вычисляемая по формуле
,
где - результат
-го измерения;
- число измерений;
- среднеарифметическое значение
измерений.



