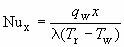
Местное число Нуссельта
Список продуктов
Данный раздел/документ содержится в продуктах:
Данный раздел/документ содержится в продуктах:
- Техэксперт: Нормы, правила, стандарты и законодательство России
- Техэксперт: Нефтегазовый комплекс
- Техэксперт: Машиностроительный комплекс
МЕСТНОЕ ЧИСЛО НУССЕЛЬТА
Безразмерная величина, равная произведению местного теплового потока на местное значение продольной координаты, деленному на теплопроводность и разность характерных температур,
,
где - продольная координата,
- адиабатическая температура,
- температура поверхности



