0 продуктов

Авторизация

Коэффициент давления

Список продуктов
Данный раздел/документ содержится в продуктах:


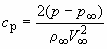
КОЭФФИЦИЕНТ ДАВЛЕНИЯ

Е. Pressure coefficient



Безразмерная величина, равная разности местного давления и давления в невозмущенном потоке, отнесенной к скоростному напору невозмущенного потока

"ГОСТ 23281-78 Аэродинамика летательных аппаратов. Термины, определения и буквенные обозначения" от 28.09.1978 г.


КОЭФФИЦИЕНТ ДАВЛЕНИЯ

() (pressure coefficient)

Категории продуктов

 

 

 

Знакомьтесь, "Техэксперт"

 Техэксперт для iPad

 Для Android

АКЦИЯ!

Бесплатный доступ