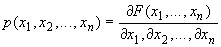
Плотность распределения вероятностей случайного вектора
Список продуктов
Данный раздел/документ содержится в продуктах:
Данный раздел/документ содержится в продуктах:
- Техэксперт: Нормы, правила, стандарты и законодательство России
- Техэксперт: Нефтегазовый комплекс
- Техэксперт: Машиностроительный комплекс
ПЛОТНОСТЬ РАСПРЕДЕЛЕНИЯ ВЕРОЯТНОСТЕЙ СЛУЧАЙНОГО ВЕКТОРА
Плотность вероятностей случайного вектора
Probability density function of a multidimensional random variable
Функция векторного аргумента, равная смешанной частной производной от функции распределения по совокупности аргументов и имеющая смысл отношения вероятности попадания векторной величины
в векторный элементарный интервал
к значению этого интервала



