Совместно эргодические процессы
Список продуктов
Данный раздел/документ содержится в продуктах:
Данный раздел/документ содержится в продуктах:
- Техэксперт: Нормы, правила, стандарты и законодательство России
- Техэксперт: Нефтегазовый комплекс
- Техэксперт: Машиностроительный комплекс
СОВМЕСТНО ЭРГОДИЧЕСКИЕ ПРОЦЕССЫ
Нрк. Взаимно эргодические процессы
Mutually ergodic processes
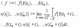
Два случайных процесса, для которых характеристика, полученная усреднением по времени, произведенным над одной единственной парой реализации случайных процессов, сходится с вероятностью единица к соответствующей характеристике, полученной усреднением по множеству пар реализации этих процессов
, где



