Стационарный в узком смысле случайный процесс
Список продуктов
Данный раздел/документ содержится в продуктах:
Данный раздел/документ содержится в продуктах:
- Техэксперт: Нормы, правила, стандарты и законодательство России
- Техэксперт: Нефтегазовый комплекс
- Техэксперт: Машиностроительный комплекс
СТАЦИОНАРНЫЙ В УЗКОМ СМЫСЛЕ СЛУЧАЙНЫЙ ПРОЦЕСС
Стационарный процесс
Нрк. Абсолютно стационарный процесс
Строго стационарный процесс
Stationary in a narrow sense random process
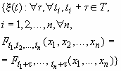
Случайный процесс, у которого все конечномерные функции распределения вероятностей любого порядка инвариантны относительно сдвига по времени
"ГОСТ 21878-76 Случайные процессы и динамические системы. Термины и определения" от 24.05.1976 г.



