Пуассоновский процесс
Список продуктов
Данный раздел/документ содержится в продуктах:
Данный раздел/документ содержится в продуктах:
- Техэксперт: Нормы, правила, стандарты и законодательство России
- Техэксперт: Нефтегазовый комплекс
- Техэксперт: Машиностроительный комплекс
ПУАССОНОВСКИЙ ПРОЦЕСС
Poisson process
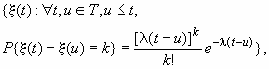
Случайный процесс с независимыми стационарными приращениями, распределенными по закону Пуассона

где - параметр пуассоновского процесса
"ГОСТ 21878-76 Случайные процессы и динамические системы. Термины и определения" от 24.05.1976 г.



