0 продуктов

Авторизация

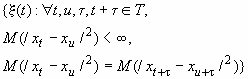
Случайный процесс со стационарными в широком смысле приращениями

Список продуктов
Данный раздел/документ содержится в продуктах:


СЛУЧАЙНЫЙ ПРОЦЕСС СО СТАЦИОНАРНЫМИ В ШИРОКОМ СМЫСЛЕ ПРИРАЩЕНИЯМИ

Random process with stationary in a wide sense increments

Случайный процесс, у которого приращения для каждого фиксированного есть стационарный в широком смысле процесс

"ГОСТ 21878-76 Случайные процессы и динамические системы. Термины и определения" от 24.05.1976 г.

Категории продуктов

 

 

 

Знакомьтесь, "Техэксперт"

 Техэксперт для iPad

 Для Android

АКЦИЯ!

Бесплатный доступ