0 продуктов

Авторизация

Гауссовский процесс

Список продуктов
Данный раздел/документ содержится в продуктах:


ГАУССОВСКИЙ ПРОЦЕСС

Нрк. Нормальный случайный процесс

Gaussian process

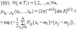
Случайный процесс, все -мерные функции распределения (плотности распределения) вероятностей которого нормальный





где , - матрица, обратная корреляционной матрице , т.е. подчиняющаяся уравнению

Категории продуктов

 

 

 

Знакомьтесь, "Техэксперт"

 Техэксперт для iPad

 Для Android

АКЦИЯ!

Бесплатный доступ