N-мерная характеристическая функция случайного процесса
Список продуктов
Данный раздел/документ содержится в продуктах:
Данный раздел/документ содержится в продуктах:
- Техэксперт: Нормы, правила, стандарты и законодательство России
- Техэксперт: Нефтегазовый комплекс
- Техэксперт: Машиностроительный комплекс
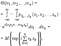
N-МЕРНАЯ ХАРАКТЕРИСТИЧЕСКАЯ ФУНКЦИЯ СЛУЧАЙНОГО ПРОЦЕССА
Характеристическая функция случайного процесса
Characteristical function
Функция комплексного векторного аргумента, представляющая собой -кратное преобразование Фурье от
-мерной плотности распределения вероятностей случайного процесса

где (·) - символ математического ожидания



