Цветовое пространство МКО 1976
Список продуктов
Данный раздел/документ содержится в продуктах:
Данный раздел/документ содержится в продуктах:
- Техэксперт: Охрана труда
- Техэксперт: Нормы, правила, стандарты и законодательство России
- Техэксперт: Нефтегазовый комплекс
- Техэксперт: Машиностроительный комплекс
ЦВЕТОВОЕ ПРОСТРАНСТВО МКО 1976
:
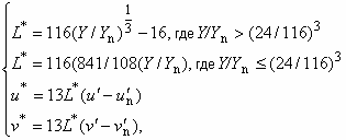
Трехмерное, приблизительно равноконтрастное цветовое пространство, заключенное в прямоугольной системе координат , которые определяют по следующим формулам:
(11)
где ,
,
- рассматриваемый цветовой стимул,



