Номинальная частота вращения асинхронного генератора
Список продуктов
Данный раздел/документ содержится в продуктах:
Данный раздел/документ содержится в продуктах:
- Техэксперт: Нормы, правила, стандарты и законодательство России
- Техэксперт: Нефтегазовый комплекс
- Техэксперт: Машиностроительный комплекс
- Техэксперт: Электроэнергетика
- Техэксперт: Теплоэнергетика
- Стройэксперт. "Вариант Лидер"
- Техэксперт: Эксплуатация зданий
- Стройтехнолог
НОМИНАЛЬНАЯ ЧАСТОТА ВРАЩЕНИЯ АСИНХРОННОГО ГЕНЕРАТОРА
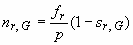
Частота вращения , определяемая по формуле
,
где - расчетное значение скольжения асинхронного генератора.



