0 продуктов

Авторизация

Групповая номинальная реактивная мощность

Список продуктов
Данный раздел/документ содержится в продуктах:


ГРУППОВАЯ НОМИНАЛЬНАЯ РЕАКТИВНАЯ МОЩНОСТЬ

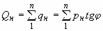
Алгебраическая сумма номинальных реактивных мощностей, входящих в группу ЭП

,

где  - паспортное или справочное значение коэффициента реактивной мощности.

Приказ Тяжпромэлектропроекта от 30.07.1992 г. N 359-92 "РТМ 36.18.32.4-92 Указания по расчету электрических нагрузок"

Категории продуктов

 

 

 

Знакомьтесь, "Техэксперт"

 Техэксперт для iPad

 Для Android

АКЦИЯ!

Бесплатный доступ