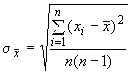
Среднеквадратическая погрешность результата измерения
Список продуктов
Данный раздел/документ содержится в продуктах:
Данный раздел/документ содержится в продуктах:
- Техэксперт: Нормы, правила, стандарты и законодательство России
- Техэксперт: Нефтегазовый комплекс
- Техэксперт: Машиностроительный комплекс
СРЕДНЕКВАДРАТИЧЕСКАЯ ПОГРЕШНОСТЬ РЕЗУЛЬТАТА ИЗМЕРЕНИЯ
Оценка случайной погрешности среднеарифметического значения результата измерений одной и той же величины в данном ряду измерений, вычисляемая по формуле
,
где - результат
-го единичного измерения;
- среднеарифметическое значение измеряемой величины из
единичных результатов;



