Сдвиг резонансной частоты под нагрузкой
Список продуктов
Данный раздел/документ содержится в продуктах:
Данный раздел/документ содержится в продуктах:
- Техэксперт: Нормы, правила, стандарты и законодательство России
- Техэксперт: Нефтегазовый комплекс
- Техэксперт: Машиностроительный комплекс
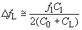
СДВИГ РЕЗОНАНСНОЙ ЧАСТОТЫ ПОД НАГРУЗКОЙ
(load resonance frequency offset) :
. (6)
Его можно приближенно вычислять по формуле
. (7)



