КПД насосной установки с манифольдом
Список продуктов
Данный раздел/документ содержится в продуктах:
Данный раздел/документ содержится в продуктах:
- Техэксперт: Промышленная безопасность
- Техэксперт: Нормы, правила, стандарты и законодательство России
- Техэксперт: Нефтегазовый комплекс
- Техэксперт: Машиностроительный комплекс
- Техэксперт: Электроэнергетика
- Техэксперт: Теплоэнергетика
- Стройэксперт. "Вариант Лидер"
- Техэксперт: Эксплуатация зданий
- Стройтехнолог
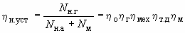
КПД НАСОСНОЙ УСТАНОВКИ С МАНИФОЛЬДОМ
Отношение гидравлической мощности насоса к сумме мощностей насосного агрегата и мощности, теряемой в манифольде
.



