Функция пространственной когерентности
Список продуктов
Данный раздел/документ содержится в продуктах:
Данный раздел/документ содержится в продуктах:
- Техэксперт: Нормы, правила, стандарты и законодательство России
- Техэксперт: Нефтегазовый комплекс
- Техэксперт: Машиностроительный комплекс
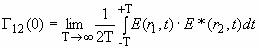
ФУНКЦИЯ ПРОСТРАНСТВЕННОЙ КОГЕРЕНТНОСТИ
Комплексная функция вида:
,
где и
- значения напряженности электрического поля излучения в двух точках пространства в совпадающие моменты времени



