Неравномерность распределения реактивных нагрузок
Список продуктов
Данный раздел/документ содержится в продуктах:
Данный раздел/документ содержится в продуктах:
- Техэксперт: Промышленная безопасность
- Техэксперт: Нормы, правила, стандарты и законодательство России
- Техэксперт: Нефтегазовый комплекс
- Техэксперт: Машиностроительный комплекс
- Техэксперт: Электроэнергетика
- Техэксперт: Теплоэнергетика
- Стройэксперт. "Вариант Лидер"
- Техэксперт: Эксплуатация зданий
- Стройтехнолог
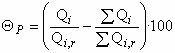
НЕРАВНОМЕРНОСТЬ РАСПРЕДЕЛЕНИЯ РЕАКТИВНЫХ НАГРУЗОК
Наибольшая разность относительных реактивных нагрузок электрогенераторной установки наименьшей мощности и всех параллельно работающих электрогенераторных установок, вычисляемая в процентах, по формуле
,
где - фактическая реактивная нагрузка электрогенераторной установки наименьшей мощности;
- номинальная реактивная мощность электрогенераторной установки наименьшей мощности;



