0 продуктов

Авторизация

Неравномерность яркости рабочего поля экрана

Список продуктов
Данный раздел/документ содержится в продуктах:


НЕРАВНОМЕРНОСТЬ ЯРКОСТИ РАБОЧЕГО ПОЛЯ ЭКРАНА

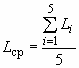
Наибольшее по модулю значение неравномерности , %, определяемое по формуле

,

где  - средняя яркость рабочего поля экрана, кд/м;

- яркость изображения каждой из пяти точек экрана (в центре и по углам), кд/м.

Категории продуктов

 

 

 

Знакомьтесь, "Техэксперт"

 Техэксперт для iPad

 Для Android

АКЦИЯ!

Бесплатный доступ