0 продуктов

Авторизация

Сличение с помощью эталона сравнения

Список продуктов
Данный раздел/документ содержится в продуктах:


СЛИЧЕНИЕ С ПОМОЩЬЮ ЭТАЛОНА СРАВНЕНИЯ

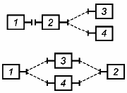
Последовательное (поочередное) сличение эталонного и поверяемого ваттметров методом непосредственного сличения с ЭС





1 - генератор; 2 - ЭС; 3, 4 - сличаемые ваттметры

"ГОСТ 8.641-2014 ГСИ. Государственная поверочная схема для средств измерений мощности электромагнитных колебаний в коаксиальных и волноводных трактах в диапазоне частот от 0,03 до 37,5 ГГц" от 10.07.2014 г.


СЛИЧЕНИЕ С ПОМОЩЬЮ ЭТАЛОНА СРАВНЕНИЯ (ЭС)

Последовательное (поочередное) сличение эталонного и поверяемого ваттметров методом непосредственного сличения с ЭС

Категории продуктов

 

 

 

Знакомьтесь, "Техэксперт"

 Техэксперт для iPad

 Для Android

АКЦИЯ!

Бесплатный доступ