Типовое число
Список продуктов
Данный раздел/документ содержится в продуктах:
Данный раздел/документ содержится в продуктах:
- Техэксперт: Нормы, правила, стандарты и законодательство России
- Техэксперт: Нефтегазовый комплекс
- Техэксперт: Машиностроительный комплекс
- Техэксперт: Электроэнергетика
- Техэксперт: Теплоэнергетика
- Стройэксперт. "Вариант Лидер"
- Техэксперт: Эксплуатация зданий
- Стройтехнолог
ТИПОВОЕ ЧИСЛО
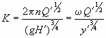
Безразмерное число, рассчитанное для оптимального режима работы насоса по формуле:
,
Примечания
1 Типовое число рассчитывают для максимального диаметра ступени ротора.
2 Типовое число и коэффициент быстроходности
рассчитывают по одной и той же структурной формуле, в разных единицах размерности (
- в Международной системе единиц СИ, а
- в технической системе единиц МКГСС). Пересчет этих коэффициентов из одной системы в другую осуществляют, используя соотношение
.



