Эквивалентное время работы
Список продуктов
Данный раздел/документ содержится в продуктах:
Данный раздел/документ содержится в продуктах:
- Техэксперт: Промышленная безопасность
- Техэксперт: Нормы, правила, стандарты и законодательство России
- Техэксперт: Нефтегазовый комплекс
- Техэксперт: Машиностроительный комплекс
- Техэксперт: Электроэнергетика
- Техэксперт: Теплоэнергетика
- Стройэксперт. "Вариант Лидер"
- Техэксперт: Эксплуатация зданий
- Стройтехнолог
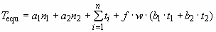
ЭКВИВАЛЕНТНОЕ ВРЕМЯ РАБОТЫ
(эквивалентная наработка)
(equivalent operating hours)
Ч
Эквивалентное время, необходимое для определения периодичности технического обслуживания и ремонта, а также прогнозирования ресурса.
Пример -
,



