Среднеквадратичное значение корректированного ускорения
Список продуктов
Данный раздел/документ содержится в продуктах:
Данный раздел/документ содержится в продуктах:
- Техэксперт: Охрана труда
- Техэксперт: Нормы, правила, стандарты и законодательство России
- Техэксперт: Нефтегазовый комплекс
- Техэксперт: Машиностроительный комплекс
- Техэксперт: Электроэнергетика
- Техэксперт: Теплоэнергетика
- Стройэксперт. "Вариант Лидер"
- Техэксперт: Эксплуатация зданий
- Стройтехнолог
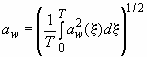
СРЕДНЕКВАДРАТИЧНОЕ ЗНАЧЕНИЕ КОРРЕКТИРОВАННОГО УСКОРЕНИЯ
Усредненная по времени поступательная или угловая вибрация, определяемая формулой
,
где - текущее значение корректированного ускорения (поступательного или углового) как функция времени
;



