Относительные пределы допускаемой основной погрешности
Список продуктов
Данный раздел/документ содержится в продуктах:
Данный раздел/документ содержится в продуктах:
- Техэксперт: Нормы, правила, стандарты и законодательство России
- Техэксперт: Нефтегазовый комплекс
- Техэксперт: Машиностроительный комплекс
- Техэксперт: Электроэнергетика
- Техэксперт: Теплоэнергетика
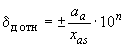
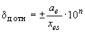
ОТНОСИТЕЛЬНЫЕ ПРЕДЕЛЫ ДОПУСКАЕМОЙ ОСНОВНОЙ ПОГРЕШНОСТИ
Отклонения по п.6.5, отнесенные к предписанному значению выходной (входной) величины в соответствии с номинальной статической функцией преобразования:
или
,
где 2 для
, %,



