Децибел
Список продуктов
Данный раздел/документ содержится в продуктах:
Данный раздел/документ содержится в продуктах:
- Техэксперт: Охрана труда
- Техэксперт: Промышленная безопасность
- Техэксперт: Нормы, правила, стандарты и законодательство России
- Техэксперт: Нефтегазовый комплекс
- Техэксперт: Машиностроительный комплекс
- Техэксперт: Электроэнергетика
- Техэксперт: Теплоэнергетика
- Стройэксперт. "Вариант Лидер"
- Техэксперт: Эксплуатация зданий
- Стройтехнолог
ДЕЦИБЕЛ
Десятая часть бела.
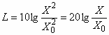
Примечание 1 - Значение в децибелах в десять раз превышает логарифм по основанию 10 отношения двух энергетических параметров, т.е.
.
Примечание 2 - Примерами энергетических параметров являются квадрат звукового давления, квадрат скорости колебаний частицы, интенсивность звука, объемная плотность звуковой энергии, квадрат напряжения. Часто бел является единицей измерения уровня квадрата звукового давления, однако, для краткости говорят об уровне звукового давления, поскольку обычно это не вызывает каких-либо недоразумений.



