
Вы нашли документ, содержащийся в электронной базе документов - "ТЕХЭКСПЕРТ"!
Как рассчитать среднесменную концентрацию железа в воздухе рабочей зоны?
Как рассчитать среднесменную концентрацию железа в воздухе рабочей зоны?
Вопрос:
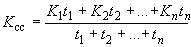
На основе результатов, полученных отдельными измерениями, мы рассчитываем ПДК с.с железа, используя формулу, указанную в п.4.3.1 ГОСТ 12.1.005-88:
где - среднесменная концентрация, мг/м
;
,
,...,
- средние арифметические величины отдельных измерений концентраций вредного вещества на отдельных стадиях (операциях) технологического процесса, мг/м
;
Скачать документ нельзя - можно заказать Бесплатно! 1 документ
Документ будет отправлен на указанный Вами e-mail в течение 3 рабочих дней*
Часы работы: с Пн по Пт с 8:30 до 17:30 по московскому времени.
или
Посмотреть возможности крупнейшей электронной библиотеки "Техэксперт" - более 8 000 000 документов!



