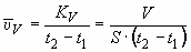
Средняя скорость выделения (поглощения) газа при коррозии металла
Список продуктов
Данный раздел/документ содержится в продуктах:
Данный раздел/документ содержится в продуктах:
- Техэксперт: Нормы, правила, стандарты и законодательство России
- Техэксперт: Нефтегазовый комплекс
- Техэксперт: Машиностроительный комплекс
СРЕДНЯЯ СКОРОСТЬ ВЫДЕЛЕНИЯ (ПОГЛОЩЕНИЯ) ГАЗА ПРИ КОРРОЗИИ МЕТАЛЛА
- объем газа, выделившегося (поглощенного) при коррозии металла;
- площадь окисляемой (корродирующей) поверхности металла;
,
- продолжительность коррозионного испытания



