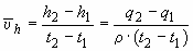
Средняя скорость проникновения коррозии в металле
Список продуктов
Данный раздел/документ содержится в продуктах:
Данный раздел/документ содержится в продуктах:
- Техэксперт: Нормы, правила, стандарты и законодательство России
- Техэксперт: Нефтегазовый комплекс
- Техэксперт: Машиностроительный комплекс
СРЕДНЯЯ СКОРОСТЬ ПРОНИКНОВЕНИЯ КОРРОЗИИ В МЕТАЛЛЕ
- плотность металла, подвергающегося коррозии;
- продолжительность коррозионного испытания;
;
- масса металла до коррозионного испытания;



