0 продуктов

Авторизация

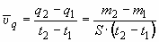
Средняя скорость потери массы металла

Список продуктов
Данный раздел/документ содержится в продуктах:


СРЕДНЯЯ СКОРОСТЬ ПОТЕРИ МАССЫ МЕТАЛЛА



      - масса металла без продуктов окисления (коррозии) после испытания в течение заданного интервала времени;

      - площадь окисляемой (корродирующей) поверхности металла;


- продолжительность коррозионного испытания

Категории продуктов

 

 

 

Знакомьтесь, "Техэксперт"

 Техэксперт для iPad

 Для Android

АКЦИЯ!

Бесплатный доступ