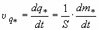
Истинная скорость прироста массы металла
Список продуктов
Данный раздел/документ содержится в продуктах:
Данный раздел/документ содержится в продуктах:
- Техэксперт: Нормы, правила, стандарты и законодательство России
- Техэксперт: Нефтегазовый комплекс
- Техэксперт: Машиностроительный комплекс
ИСТИННАЯ СКОРОСТЬ ПРИРОСТА МАССЫ МЕТАЛЛА
- масса металла с продуктами окисления (коррозии) после испытания в течение заданного интервала времени;
- площадь окисляемой (корродирующей) поверхности металла;
- продолжительность коррозионного испытания



