Коэффициент неоднородности диэлектрического материала при радиоволновом неразрушающем контроле
Список продуктов
Данный раздел/документ содержится в продуктах:
Данный раздел/документ содержится в продуктах:
- Техэксперт: Промышленная безопасность
- Техэксперт: Нормы, правила, стандарты и законодательство России
- Техэксперт: Нефтегазовый комплекс
- Техэксперт: Машиностроительный комплекс
- Техэксперт: Электроэнергетика
- Техэксперт: Теплоэнергетика
- Стройэксперт. "Вариант Лидер"
- Техэксперт: Эксплуатация зданий
- Стройтехнолог
КОЭФФИЦИЕНТ НЕОДНОРОДНОСТИ ДИЭЛЕКТРИЧЕСКОГО МАТЕРИАЛА ПРИ РАДИОВОЛНОВОМ НЕРАЗРУШАЮЩЕМ КОНТРОЛЕ
Коэффициент неоднородности
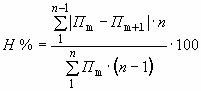
Коэффициент, характеризующий степень относительных изменений свойств материала, анализируемых при радиоволновом методе неразрушающего контроля, выраженных через изменения диэлектрических характеристик, определяемый по формуле
,
где - измеряемый параметр;
- количество измерений параметра
в различных участках объекта контроля, выполненных в рабочем диапазоне или на рабочей длине волны;



