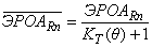
Коэффициент температурного влияния
Список продуктов
Данный раздел/документ содержится в продуктах:
Данный раздел/документ содержится в продуктах:
- Техэксперт: Нормы, правила, стандарты и законодательство России
- Техэксперт: Нефтегазовый комплекс
- Техэксперт: Машиностроительный комплекс
КОЭФФИЦИЕНТ ТЕМПЕРАТУРНОГО ВЛИЯНИЯ
(, отн.ед.)
Параметр, учитывающий только для закрытых помещений отклонение измеренного значения ЭРОА или ОА радона от среднегодовой величины, которое обусловлено влиянием на воздухообмен гравитационного (теплового) напора наружного воздуха на внешние ограждающие конструкции здания [1-3]; экспериментально установленные значения этого параметра [4, 5] приводятся в Приложении В, а учет температурного влияния выражается формулой
, либо
,



