Работа адиабатного расширения 1 куб.м сжатого воздуха
Список продуктов
Данный раздел/документ содержится в продуктах:
Данный раздел/документ содержится в продуктах:
- Техэксперт: Промышленная безопасность
- Техэксперт: Нормы, правила, стандарты и законодательство России
- Техэксперт: Нефтегазовый комплекс
- Техэксперт: Машиностроительный комплекс
- Техэксперт: Электроэнергетика
- Техэксперт: Теплоэнергетика
- Стройэксперт. "Вариант Лидер"
- Техэксперт: Эксплуатация зданий
- Стройтехнолог
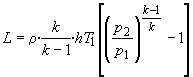
РАБОТА АДИАБАТНОГО РАСШИРЕНИЯ 1 КУБ.М СЖАТОГО ВОЗДУХА
Дж/м
Вычисляется по формуле
, (4)
где - плотность воздуха на входе в вентилятор или пневматическую турбину вентилятора, кг/м
;



