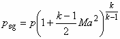
Абсолютное давление торможения в точке p(sg)
Список продуктов
Данный раздел/документ содержится в продуктах:
Данный раздел/документ содержится в продуктах:
- Техэксперт: Нормы, правила, стандарты и законодательство России
- Техэксперт: Нефтегазовый комплекс
- Техэксперт: Машиностроительный комплекс
АБСОЛЮТНОЕ ДАВЛЕНИЕ ТОРМОЖЕНИЯ В ТОЧКЕ
(absolute stagnation pressure at a point),
Абсолютное давление в точке потока, которое должно быть измерено в точке, если бы движущийся газ был остановлен в результате адиабатического процесса:
,
где - число Маха в этой точке.
"ГОСТ ISO 5802-2012 Вентиляторы промышленные. Испытания в условиях эксплуатации" от 06.09.2013 г.



