Момент инерции; массовый момент инерции
Список продуктов
Данный раздел/документ содержится в продуктах:
Данный раздел/документ содержится в продуктах:
- Техэксперт: Нормы, правила, стандарты и законодательство России
- Техэксперт: Нефтегазовый комплекс
- Техэксперт: Машиностроительный комплекс
- Техэксперт: Электроэнергетика
- Техэксперт: Теплоэнергетика
- Стройэксперт. "Вариант Лидер"
- Техэксперт: Эксплуатация зданий
- Стройтехнолог
МОМЕНТ ИНЕРЦИИ; МАССОВЫЙ МОМЕНТ ИНЕРЦИИ
(J, ) (moment of inertia; mass moment of inertia)
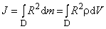
Для тела и заданной оси - это скалярная величина, равная интегралу
, где есть массовая плотность в области определения D с якобы бесконечно малой величиной массы dm и объема dV и R есть расстояние между областью определения и осью.
Примечания
1 Для материальной точки момент инерции равен произведению его массы m и его квадратного расстояния R до оси, таким образом, . Для системы частиц момент инерции равен сумме их моментов инерции.



