Коэффициент потери на трение для плоской пластины
Список продуктов
Данный раздел/документ содержится в продуктах:
Данный раздел/документ содержится в продуктах:
- Техэксперт: Нормы, правила, стандарты и законодательство России
- Техэксперт: Нефтегазовый комплекс
- Техэксперт: Машиностроительный комплекс
КОЭФФИЦИЕНТ ПОТЕРИ НА ТРЕНИЕ ДЛЯ ПЛОСКОЙ ПЛАСТИНЫ
(friction loss coefficient for a flat plate)
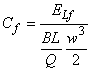
Коэффициент потери на трение для плоской пластины. Определяется в соответствии с формулой:
,
где В - ширина плоской пластины, м;
L - длина плоской пластины, м;
Q - расход, проходящий по пластине, м/с;
w - относительная скорость потока, м/с.



