0 продуктов

Авторизация

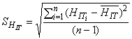
Среднее квадратичное отклонение чисел по шкале индентирования

Список продуктов
Данный раздел/документ содержится в продуктах:


СРЕДНЕЕ КВАДРАТИЧНОЕ ОТКЛОНЕНИЕ ЧИСЕЛ ПО ШКАЛЕ ИНДЕНТИРОВАНИЯ

H (S):

,                                                (4)

где  - среднее арифметическое значение из n измерений твердости по шкале индентирования в n точках, расположенных равномерно по поверхности эталонной меры твердости.

Категории продуктов

 

 

 

Знакомьтесь, "Техэксперт"

 Техэксперт для iPad

 Для Android

АКЦИЯ!

Бесплатный доступ