Средний геометрический диаметр
Список продуктов
Данный раздел/документ содержится в продуктах:
Данный раздел/документ содержится в продуктах:
- Техэксперт: Охрана труда
- Техэксперт: Нормы, правила, стандарты и законодательство России
- Техэксперт: Нефтегазовый комплекс
- Техэксперт: Машиностроительный комплекс
СРЕДНИЙ ГЕОМЕТРИЧЕСКИЙ ДИАМЕТР
СГД (geometric mean diameter; GMD)
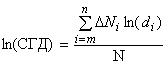
Среднее значение распределения частиц по размерам, выраженное в виде логарифма и вычисленное по логарифму диаметров частиц, определенных с помощью САДЭП, по формуле
, (1)
где d - среднее геометрическое значение нижней и верхней границы диаметров частиц i-го диапазона размеров;
N - общая концентрация наночастиц;



