Относительное удлинение при ползучести при растяжении
Список продуктов
Данный раздел/документ содержится в продуктах:
Данный раздел/документ содержится в продуктах:
- Техэксперт: Нормы, правила, стандарты и законодательство России
- Техэксперт: Нефтегазовый комплекс
- Техэксперт: Машиностроительный комплекс
ОТНОСИТЕЛЬНОЕ УДЛИНЕНИЕ ПРИ ПОЛЗУЧЕСТИ ПРИ РАСТЯЖЕНИИ
(tensile-creep strain), % или безразмерная величина
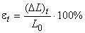
Удлинение, отнесенное к первоначальной расчетной длине образца .
Примечание - Относительное удлинение при ползучести при растяжении , %, вычисляют по формуле
. (4)



