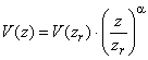
Вертикальный профиль ветра (закон распределения)
Список продуктов
Данный раздел/документ содержится в продуктах:
Данный раздел/документ содержится в продуктах:
- Техэксперт: Нормы, правила, стандарты и законодательство России
- Техэксперт: Нефтегазовый комплекс
- Техэксперт: Машиностроительный комплекс
- Техэксперт: Электроэнергетика
- Техэксперт: Теплоэнергетика
- Стройэксперт. "Вариант Лидер"
- Техэксперт: Эксплуатация зданий
- Стройтехнолог
ВЕРТИКАЛЬНЫЙ ПРОФИЛЬ ВЕТРА (ЗАКОН РАСПРЕДЕЛЕНИЯ)
Математическое выражение для предполагаемого изменения скорости ветра по высоте над поверхностью земли.
Примечание - Обычно используемые профили описываются логарифмическими зависимостями (1) или степенными функциями (2).
, (1)
, (2)



